연결 리스트
저번 시간에 구현했던 그냥 '리스트'와는 달리,
연결 리스트는 동적으로 크기가 변할 수 있고, 삭제나 삽입 시에 데이터를 이동할 필요가 없다.
why?

이것이 연결리스트의 기본 구조이다.
데이터가 담긴 상자를 노드(node)라고 부른다.
노드와 노드를 연결하는 선을 포인터(pointer)로 구현한다.
연결 리스트에서는 노드를 연결시켜주는 줄만 바꾸면, 삽입 / 삭제가 간편하다.
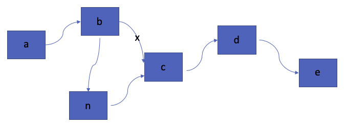
만약 b와 c사이에 새로운 데이터를 삽입한다고 가정한다면,

그림과 같이 b가 n을 가리키도록, 그리고 n이 c를 가리키도록 줄을 수정해주면 된다.
만약 c를 삭제한다고 가정한다면,

이렇게 줄을 연결하면 된다.
연결 리스트의 구조

우리는 상자를 node라고 불렀다.
node는 2가지 영역으로 나뉘는데,
하나는 데이터가 담기는 데이터 필드(data field),
또 다른 하나는 다음 노드의 주소가 담긴 링크 필드(link field)이다.
링크필드를 이용해서 다음 노드로 이동할 수 있다.
연결 리스트를 사용하려면, 가장 첫번째의 노드를 알아야
사용가능하다.
첫번째의 노드를 가르키는 포인터를 '헤드 포인터'(head pointer)라고 한다.
그리고 마지막 노드의 링크 필드는 NULL로 설정되는데,
연결 리스트의 마지막이다. 라는 것을 의미한다.
각 노드들은 필요할 때마다 malloc함수를 사용하여 생성한다.
연결 리스트의 종류
연결 리스트는 3가지 종류가 있다.
1. 단순 연결 리스트
2. 원형 연결 리스트
3. 이중 연결 리스트
지금은 일단 단순 연결 리스트만 알아보는걸로 하자.
단순 연결 리스트

첫 노드를 가리키는 head pointer 그리고 마지막 노드의 링크 필드 값은 NULL이 된다.
단순 연결 리스트의 구현
단순 연결 리스트의 구현을 하기 위해선,
3가지 질문이 있다.
1. 노드는 어떻게 정의? - 자기 참조 구조체
2. 노드는 어떻게 생성? - malloc
3. 노드는 어떻게 삭제? - free
노드의 정의
노드는 자기 참조 구조체를 이용한다.
자기 참조 구조체란, 자기 자신을 가르키는 포인터를 포함하는 구조체이다.
#include <stdio.h>
#include <stdlib.h>
typedef int element;
typedef struct Node{
element data;
struct Node *link; //자기 참조 구조체
} Node;
노드를 정의하였다.
data에는 데이터가 들어간다.
link는 구조체 Node를 가르키는(자기 자신) 포인터로 정의된다.
공백 리스트 생성
이제 텅 비어있는 아무것도 없는 리스트를 생성해보자.
Node *head = NULL;
Node구조체를 가르킬, 헤드 포인터를 선언했다.
가르킬 노드가 아직 없기때문에, 값이 NULL이다.
노드의 생성
head = (Node *)malloc(sizeof(Node));
구조체 Node의 크기만큼, Node형으로 동적 할당을 해준다.
malloc함수는 '주소값'을 반환한다.
그러면 head포인터는 노드를 가르키게 된다.(첫번째 노드)

현재 모습은 이렇다.
노드는 생성되었고, 헤드포인터가 첫 노드를 가리키지만,
노드안에 데이터는 없음. 인정?ㅋ
여기서 이제 노드안에 데이터를 넣어보자
head->data = 10;
head->link = NULL;
넘모 쉽다.

이해가능?
노드의 연결
같은 방식으로 노드를 하나 더 생성하고,
노드끼리 연결 해보자
Node *p = NULL;
p = (Node *)malloc(sizeof(Node));
p->data = 20;
p->link = NULL;
노드 생성 후, 데이터까지 넣었다.

이런 모습인데, 이젠 이 두 노드를 포인터를 이용해서 연결해야 한다.
head->link = p;
이렇게 하면, head가 가리키는 link가 포인터 p(주소)를 가리키게 된다.

최종적으로 이런 간단한 연결리스트가 된다.
노드를 더 늘리고싶다면 이 과정을 반복하면 된다!
단순 연결 리스트의 연산을 구현해보자
연결 리스트를 리스트답게 사용하려면 5가지의 기능이 필요하다.
- insert_first : 리스트의 시작 부분에 삽입
- insert : 리스트 중간에 삽입
- delete_first : 리스트의 시작 부분 삭제
- delete : 리스트의 중간 부분 삭제
- print_list : 리스트 출력
리스트의 시작 부분에 삽입(insert_first)
Node *insert_first(Node *head, element value)
{
Node *p = (Node *)malloc(sizeof(Node)); //노드 하나 생성
p->data = value;
p->link = head;
head = p;
return head;
}
추가할 노드를 하나 생성한다.
생성한 노드에 데이터를 넣고.
생성한 노드의 링크를 원래 head포인터가 가리키던 노드를 가리키게 한다.
head포인터가 처음 노드를 가리켰으니, head포인터가 가리키는 노드를 생성한 노드로 바꾼다.
리스트의 중간에 삽입(insert)
//prev뒤에 새로운 노드를 삽입한다.
Node *insert(Node *head, Node *prev, element value)
{
Node *p = (Node *)malloc(sizeof(Node));
p->data = value;
p->link = prev->link;
prev->link = p;
return head;
}
추가할 노드를 하나 생성.
생성한 노드에 데이터 입력.
생성한 노드의 링크가 이전 노드가 가리키던 노드를 가리키도록.
그리고 이전 노드가 새로 삽입할 노드를 가르키도록 한다.
리스트의 시작 부분 삭제(delete_first)
Node *delete_first(Node *head)
{
Node *removed = NULL;
if(head == NULL)
return NULL;
removed = head;
head = removed->link;
free(removed);
return head;
}
head가 NULL을 가리킨다면, 텅 빈 리스트.
원래 head포인터가 가리키던 노드(맨 처음 노드)를 removed포인터(삭제될 노드)가 가리키게 한다.
그리고 head포인터가 removed포인터의 링크를 가리키게 하면 된다.
그리고 free(removed)로 할당 해제해주면, 삭제 끝!
좀 어렵긴 한데, 그림 그려서 해보면 이해쉬움.
리스트의 중간 부분 삭제(delete)
//prev가 가리키는 노드 다음 노드를 삭제한다.
Node *delete(Node *head, Node *prev)
{
Node *removed;
removed = prev->link;
prev->link = removed->link;
free(removed);
return head;
}
prev가 가리키던 노드의 링크를 removed가 가리키게 하고,
prev가 가리키던 링크는 removed의 링크를 가리킨다.
그리고 free(removed)로 해제.
글로만 보니, 어렵게 느껴지지?
그림으로 ㄱㄱ

이렇게.
출력 함수(print_list)
void print_list(Node *head)
{
for(Node *p = head; p != NULL; p = p->link){
printf("%d->", p->data);
}
printf("NULL\n");
}
p가 NULL을 가리킬 때 까지, 데이터를 출력한다.
전체 코드 / 확인
#include <stdio.h>
#include <stdlib.h>
typedef int element;
typedef struct Node {
element data;
struct Node *link;
} Node;
Node *insert_first(Node *head, element value)
{
Node *p = (Node *)malloc(sizeof(Node)); //노드 하나 생성
p->data = value;
p->link = head;
head = p;
return head;
}
//prev뒤에 새로운 노드를 삽입한다.
Node *insert(Node *head, Node *prev, element value)
{
Node *p = (Node *)malloc(sizeof(Node));
p->data = value;
p->link = prev->link;
prev->link = p;
return head;
}
Node *delete_first(Node *head)
{
Node *removed = NULL;
if(head == NULL)
return NULL;
removed = head;
head = removed->link;
free(removed);
return head;
}
//prev가 가리키는 노드 다음 노드를 삭제한다.
Node *delete(Node *head, Node *prev)
{
Node *removed;
removed = prev->link;
prev->link = removed->link;
free(removed);
return head;
}
void print_list(Node *head)
{
for(Node *p = head; p != NULL; p = p->link){
printf("%d->", p->data);
}
printf("NULL\n");
}
int main(void)
{
Node *head = NULL;
head = insert_first(head, 1);
print_list(head);
head = insert_first(head, 2);
print_list(head);
head = insert_first(head, 3);
print_list(head);
head = insert(head, head->link, 4); //3번째에 삽입
print_list(head);
head = delete_first(head);
print_list(head);
return 0;
}

'자료구조(Data Structure)' 카테고리의 다른 글
| 배열의 응용 : 희소 행렬 / 전치행렬 (4) | 2023.03.23 |
|---|---|
| C언어로 원형 연결 리스트 구현하긩 (0) | 2023.02.05 |
| C언어로 리스트 구현하기 (0) | 2023.02.01 |
| C언어로 덱(Deque) 구현하기 (2) | 2023.01.31 |
| 원형큐 구현하기 (2) | 2023.01.25 |